MAJLIS OPTIK MALAYSIA
MAJLIS OPTIK MALAYSIA
HOME
CORPORATE INFO
PROFILE
OBJECTIVE
VISION AND MISSION
DIRECTORY
MOC FUNCTION
MOC MEMBERS
SERVICES
RECOGNITION
LIST OF RECOGNIZED
APEL (C)
REGISTRATION
REGISTRATION
APC
PQA
COMPLAINTS
COMPLAINT
AUDIT
STATISTIC
CPD
PROVIDER
USER
PUBLICATION
PUBLICATION
CONTACT US
COMPLAINT SISPA KKM
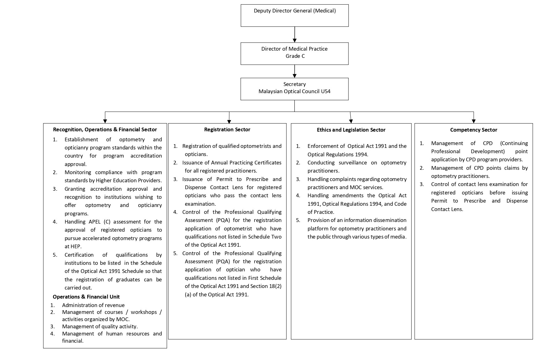
FUNCTION
Functional Chart