MAJLIS OPTIK MALAYSIA
MAJLIS OPTIK MALAYSIA
UTAMA
INFO KORPORAT
PROFIL
OBJEKTIF
VISI DAN MISI
DIREKTORI
FUNGSI MOC
AHLI MAJLIS MOC
PERKHIDMATAN
PENGIKTIRAFAN
SENARAI PENGIKTIRAFAN
APEL (C)
PENDAFTARAN
PENDAFTARAN
APC
PQA
ADUAN
ADUAN
AUDIT
STATISTIK
CPD
PEMBEKAL PROGRAM
PENGGUNA
PENERBITAN
PENERBITAN
HUBUNGI KAMI
ADUAN (SISPA KKM)
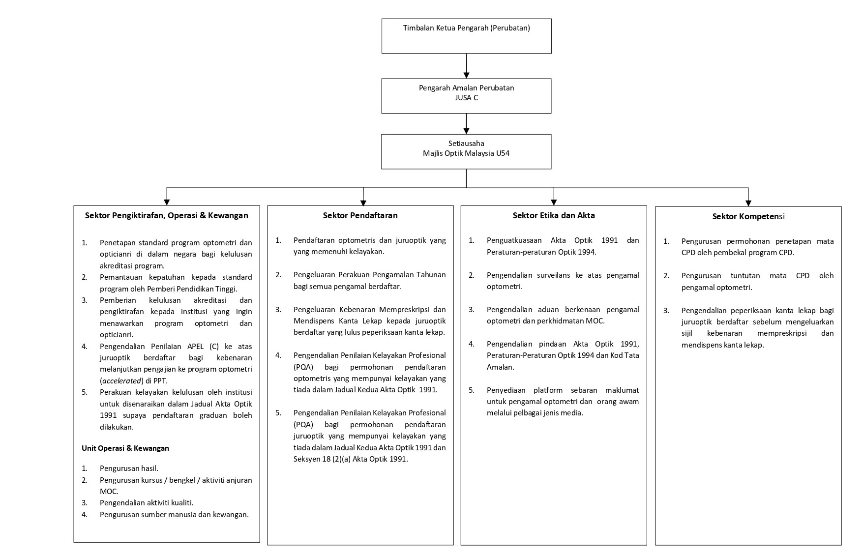
FUNGSI
Carta Fungsi